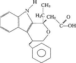
培多酸
C22H23NO3=349.43 CAS-114716-16-4 顺-(±)-1-乙基-1,3,4,9-四氢-4-(苯基甲基),吡喃并(3,4-b)吲哚-1-乙酸。 cis-(±)-1-Ethyl-1,3,4,9-tetrahydro-4-(phenylmethyl),pyrano[3,4-b]indole-1-acetic acid. (±)-顺-4-苄基-1-乙基-1,3,4,9-四氢吡喃并[3,4-b]吲哚-1-乙酸。 (±)-cis-4-Benzyl-1-ethyl-1,3,4,9-tetrahydropyrano[3,4-b]indole-1-acetic acid. 镇痛药,抗炎药。 Pemedolac,AY-30,715. INN,USAN.  |