基白价(或蒸煮价)的测定计算
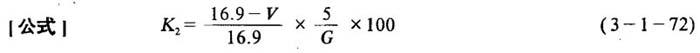
[说明]基白价是用次氯酸钙(漂液)作反应试剂,在一定条件下加入过量的漂液与纸浆作用,然后用亚砷酸钠法测定多余的有效氯。是间接测定纸浆蒸解度的方法。且可由基白价换算漂白所需的有效氯或漂率。 [测定方法]称取15g备好的试样两份,一份放于烘箱中测水分,另一份放入锥形瓶(500mL)中,加入蒸馏水190mL,加塞,充分搅拌(电动)分散至无浆块。取50mL基白标准液倒入盛浆料的锥形瓶中,从倒入起计算时间,摇匀后,立即放入40℃恒温水浴中,保温15min钟。取出滤于布氏瓷漏斗中,量取滤液50mL倒入锥形瓶中,立即用0.05M亚砷酸钠(Na3AsO3)滴定,以KI淀粉为外指示剂,至纸浆呈极浅的蓝色时滴入KI淀粉指示液,用0.05M亚砷酸钠继续滴定至蓝色消失为止。 1.基白价(蒸煮价)的计算  式中 K2-基白价 V-消耗亚砷酸钠溶液的体积(mL) G-绝干试样重(g) [附表] 基白价的换算见表3-1-3。 表3-1-3 基白价换算表  2.基白价与有效氯的换算 ❶ 草浆  式中 N-有效氯(%) k2-基白价 ❷ 木浆  式中符号含义及单位同上 3.基白价与漂率(用氯量)的换算  式中 E-漂率(%) N-有效氯(%) [附表]纸浆基白价与漂白有效氯及漂率的关系见表3-1-4。 表3-1-4 基白价与纸浆漂白有效氯及漂率的相互换算    |