塑性力学基础
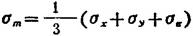
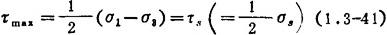
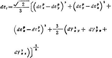
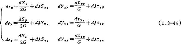
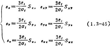
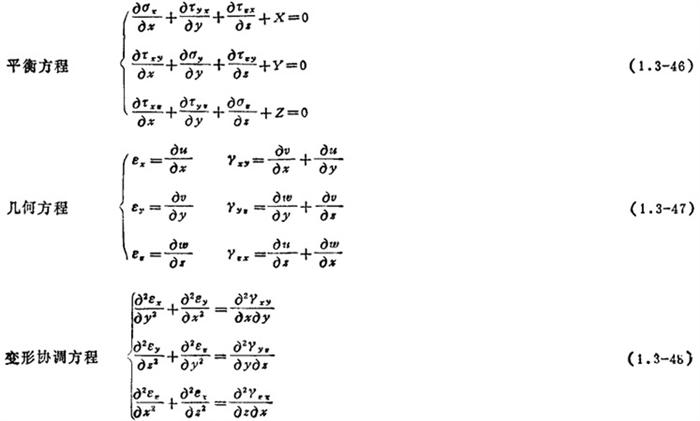
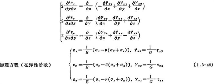
2.2.1 应力偏量与应变偏量 应力偏量:在塑性力学中,常将应力状态分解为两部分。一部分为各向相等的压(或拉)应力,其分量为(σm,σm,σm,O,O,o),σm为平均应力,其值为  该应力状态只引起弹性的体积变形。另一部分为应力偏量,其分量为(σx-σm,σy-σm,σx-σm,τxy,τyz,τzx),常记为(Sx,Sy,Sz,Sxy,Syz,5zx),它只引起形状的改变,塑性变形只与应力偏量有关。 应变偏量:与应力分析类似,应变状态也分为两部分,即只与体积变化有关的部分(εm,εm,εm,O,O,o)和只与形状变化有关的部分(ex,ey,ez,exy,eyz,ezx)。其中,εm称为平均应变:ex=εx-em,ey=εy-εm,ez=εz-εm,  称为应变偏量。 2.2.2 塑性条件 材料进入塑性状态时应力分量必须满足的条件,称为塑性条件,或称屈服条件。 Tresca条件:当最大剪应力等于剪切屈服极限时,材料开始进入塑性状态,即  或 σ1-σ3=σ3 Mises条件:当应力强度等于材料的屈服极限时,材料开始进入塑性状态,即  用主应力表示,则为  式中,σ1称为应力强度。 2.2.3 塑性应力应变关系 当材料进入塑性状态后,广义虎克定律已不适用,需要建立塑性阶段的应力应变关系。主要有两种类型:增量理论和全量理论。 增量理论:存在于应力和应变增量之间的关系。对于不同的材料模型,其关系表达式也不相同。 理想刚塑性材料的增量理论——Levy-Mises方程:  式中,de1为应变强度增量,其值为  2)理想弹塑性材料的增量理论——Prandtl-Reuss方程:  式中 ;dWp为塑性功增量 上述各式均为加载过程中增量理论公式。而其他过程dλ=0。 (2)全量理论:在简单加载条件下,应力强度σi与应变强度εt有确定的对应关系。在弹塑性小变形的情况下,下述的伊留辛(ИnbloшиH)理论比较简便。  其中,应力强度σi与应变强度ε1有确定的函数关系,即σ1=Φ(ε1)。 2.2.4 弹塑性理论的基本方程和边界条件 弹塑性理论的基本方程 与弹性理论的基本方程的主要不同之处,在于物理方程的差异。   在塑性阶段,其增量理论及全量理论见(2.2.3)。 边界条件1Su上, , , 1  |