网站首页  词典首页

请输入您要查询的字词:

 

字词 多元奇异积分算子理论
类别 中英文字词句释义及详细解析
释义 多元奇异积分算子理论

多元奇异积分是一种特殊的积分变换,它是一维Hilbert变换到高维欧氏空间的推广,由A.P.Calderon和A.Zygmund于1952年引入。

他们就最基本与最典型的情形证明奇异积分算子的Lp有界性。这是奇异积分理论的奠基性工作,以后经E.M.Stein、G.Weiss和C.Fefferman等人,把奇异积分算子同Hardy-Littlewood极大函数、面积积分、多元调和函数边界性质以及Littewood-Paley理论联系起来,构成了近代调和分析的主要工具。

同时由L.Nirenberg等人在奇异积分理论和方法基础上,发展出伪微分算子、Fourier积分算子等理论,形成偏微分方程近代理论的一个重要方面。

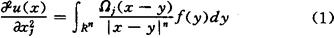
首先应考虑n维欧氏空间Rn(n>2)上的Poisson方程Δu=f。

试用牛顿位势

求解。为验证这个函数满足方程,形式地在积分号下微分两次,得到

式中,一般说来,积分(1)是发散的。因为它的核Ωj(x)/|x|n按绝对值大小来说,在原点x=0附近是不可积的,也即按Lebesgue积分的意义来说,积分(1)一般不存在。但由于Ωj在Rn的单位球面S上的平均值等于0,即

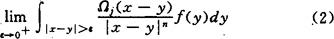
所以对“好”的函数来说,只要把积分(1)理解为

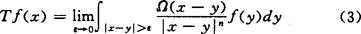
就可以证明这极限是存在的。并且可进一步证明,如果f(x)∈Lp(Rn)(p>1),那么积分(2)所定义的也属于Lp(Rn)。按正常意义是发散的积分(1),用(2)来定义就是收敛的。因此人们都称(1)右方的积分为多元奇异积分或多元奇异积分算子。

一般的多元奇异积分算子是按如下定义的一种积分变换

式中Ω(y)是零次齐次函数,即对任意的λ>0,满足Ω(xy)=λΩ(y),并且在Rn的单位球面S上的平均值等于0,即(y)=0,同时还具有一定的光滑性。

(1)中积分是奇异积分算子的一个特例。A.P.Calderon和A.Zygmund于1952年的奠基性工作就是证明:如果f(x)∈Lp(Rn)(p>1),则由(3)所定义的7f(x)∈Lp(Rn)并且

‖Tf‖Lp≤C‖f‖Lp

式中C与f无关。

从Fourier变换的观点来看,如果f(x)∈L2(Rn),则7f(x)和f(x)的Fourier变换可用等式

联系起来。其中m(x)是Rn上的一个零次齐次函数,更准确些,m(x)和(3)中的Ω(x)有下面的关系:

式中,x·y表示x与y的内积。

积分(3)是第1代的多元奇异积分算子,它是卷积型的。这种算子的研究,如它的收敛性,它在各种空间上的有界性,甚至它在各种加权空间上的有界性等等都有较完整、成熟的结果。

它的理论主要适用于常系数偏微分方程。

随著人们更深入的探讨,在20世纪60年代,由KohnNirenberg、Hormander等人提出第2代的多元奇异积分算子。它是伪微分算子,研究的主要对象是

它比较接近卷积,仍可用Fourier变换作为主要工具来研究。它对线性变系数方程理论有重要意义。

算子(3)的L2有界性是用Plancherel定理来证明的。Plancherel定理不能用到非卷积型算子上,所以这就产生了困难。

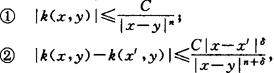
例如Calderon的k阶交换子就是调和分析中最典型的非卷积型奇异积分算子。1978年,R.R.Coifman和Y.Meyer提出了分布核与Calderon-Zygmund奇异积分算子的概念,它既包括了卷积型奇异积分算子,也包括主要的经典伪微分算子,还包括许多其它的非卷积型算子。这就是第3代的多元奇异积分算子。定义如下:

设T:D(Rn)→D′(Rn)是线性连续算子。

其中D是Schwartz函数空间,D′是其对偶。如果存在K(x,y)∈D′(Rn×Rn),它在Rn×Rn\{x=y}上的限制是一连续函数(仍记为K(x,y)),满足

当|x-y|>2|x-x′|,其中0<δ≤1;

当|x-y|>2|y-y′|。

并且对任意f,g∈D,Suppf∩Suppg=Φ,有

则称T为广义奇异积分算子,K为T的分布。如果T能扩张为L2有界算子,则称T为Galderon-Zygmund奇异积分算子。

广义奇异积算子有界性的中心问题是L2有界性。在Plancherel定理不能应用的情况下,能否有一个一般性的证明L2有界性之准则?G.David和J-L.Journe于1984年第一次得到了这样准则:

T(1)定理:设T:D(Rn)→D′(Rn)为广义奇异积分算子,则T为Galderon-Zygmund奇异积分算子,当且仅当T是弱有界的,T(1)∈BMO和T*(1)∈BMO。其中T*是T的转置算子。

对Calderon-Zygmund奇异积分算子来说,其L2有界性保证了它在许多空间的有界性。

所以T(1)定理为近代调和分析的重大成果之一。

多元奇异积分理论的丰富发展,尤其是在Calderon-Zygmund分解(这个分解是A.P.Galderon和A.Zygmund在证明积分(3)的Lp有界性发现的,其作用是关键的)。基础上发展出的一整套实变函数论方法,不仅在近代调和分析和偏微分方程的理论中,而且在多元复变函数论、概率论和位势理论中,起著重要的作用。目前,国际上对小波分析(Wavelets analysis)研究的最好方法之一就是应用Calderon-Zygmund奇异积分理论。

因此,对多元奇异积算子理论领域中尚待解决问题的研究有著重要意义。

【参考文献】:

1 Calderon A P, et al. Acta Math, 1952,88:85~ 139

2 Stein E M. Singular integrals and differentiability properties of fuctions. Princeton Univ Press ,1970

3 Journe J L. Lecture Notes in Math, 1983,994

4 David J, et al. Ann of Math,1984,120:371~397

5 Garcia-Cuerva J , et al. Weighted norm inequlities and related topics. North Holland Amsterdam ,1985

6 Torchinsky A. Real variable methods in harmonic analysis. Academic Press, 1986

7 David J. Lecture Notes in Math, 1991,1465

8 邓东皋等.数学进展,1991,20(3):294~310

(河南大学李登峰副教授撰;施成亮审)

随便看

 

文网收录3541549条中英文词条,其功能与新华字典、现代汉语词典、牛津高阶英汉词典等各类中英文词典类似,基本涵盖了全部常用中英文字词句的读音、释义及用法,是语言学习和写作的有利工具。

 

Copyright © 2004-2024 Ctoth.com All Rights Reserved
京ICP备2021023879号 更新时间:2025/10/17 22:33:38