网站首页  词典首页

请输入您要查询的字词:

 

字词 多变压缩后气体排出的体积计算
类别 中英文字词句释义及详细解析
释义 多变压缩后气体排出的体积计算

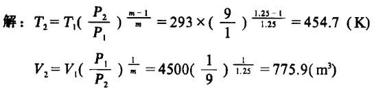
式中 V1、V2——压缩前、后气体的体积(m3)

其它同上

[例14500m3293K的空气从1atm(绝压)压缩到9atm(绝压),求多变压缩后的空气体积和温度。已知多变指数m=1.25。

随便看

 

文网收录3541549条中英文词条,其功能与新华字典、现代汉语词典、牛津高阶英汉词典等各类中英文词典类似,基本涵盖了全部常用中英文字词句的读音、释义及用法,是语言学习和写作的有利工具。

 

Copyright © 2004-2024 Ctoth.com All Rights Reserved
京ICP备2021023879号 更新时间:2025/10/17 20:18:47