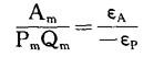
多夫曼-斯坦纳条件
这是指多夫曼和斯坦纳于1954年提出的分析垄断厂商广告水平的一个条件。 它可由以下公式表示:  其中A为垄断厂商的广告支出,P为产品价格,A和P为厂商可选择的变量,Am为垄断市场的均衡广告支出,Pm为均衡价格,Qm为均衡产出,εA为需求的广告支出弹性,εP为需求的价格弹性。 多夫曼-斯坦纳条件表明,一个以利润最大化为目标的垄断厂商应将其广告支出和价格设定到这样一个水平,即广告支出与厂商收入的比率等于广告支出弹性与价格弹性比率的绝对值。 这样,当需求相对于广告支出变得更有弹性(即εA趋于1),或需求相对于价格变得更缺乏弹性时(即εP趋于0),垄断厂商可以提高广告支出占销售额的比率。 |