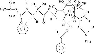
多西他索
C43H53NO14=807.89 CAS-114977-28-5 (2R,3S)-N-羧-3-苯基异丝氨酸N-叔-丁酯,与5β,20-环氧-1,2α,4,7β,10β,13α-六羟杉-11-烯-9-酮形成13酯4-醋酸酯2-苯甲酸酯。 (2R,3S)-N-Carboxy-3-phenylisoserine,N-tert-butyl ester,13-ester with 5β,20-epoxy-1,2α,4,7β,10β,13α-hexahydroxytax-11-en-9-one 4-acetate 2-benzoate. Docetaxol. INN,USAN.  |