多西环素
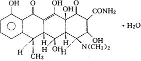
C22H24N2O8·H2O=462.46 CAS-17086-28-1 CAS-564-25-0(anhydrous) [4S-(4α,4aα,5α,5aα,6α,12aα,]-4-(二甲氨基)-1,4,4a,5a,6,11,12a-八氢-3,5,10,12,12a-五羟-6-甲基-1,11-二氧代-2-并四苯羧酰胺一水化合物。 [4S-(4α,4aα,5α,5aα,6α,12aα,]-4-(Dimethylamino)-1,4,4a,5a,6,11,12a-octahydro-3,5,10,12,12a-pentahydroxy-6-methyl-1,11-dioxo-2-naphthacenecarboxamide,monohydrate. 4-(二甲氨基)-1,4,4a,5,5α,6,11,12a-八氢-3,5,10,12,12a-五羟-6-甲基-1,11-二氧-2-并四苯羧酰胺一水合物。 4-(Dimethylamino)-1,4,4a,5,5α,6,11,12a-octahydro-3,5,10,12,12a-pentahydroxy-6-methyl-1,11-dioxo-2-naphthacenecarboxamide monohydrate. 抗生素类药。 脱氧土霉素。 Doxycycline,GS-3065. INN,BAN,USAN,USP.  |