多项对数单位模型
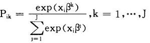
对数单位模型的每个个体只有两项选择,若每个个体都面临多项选择,则模型为多项对数单位模型。 假设有J项选择,第i个个体选择了第k项选择的概率为:  定义变量dik,若第i个个体选择了第k项选择,则dik=1,否则,dik=0。于是对数似然函数为:  显然,若β=(β1,β2,…,βJ)使得对数似然函数最大化,则β+c=(β1+c,β2+c,…,βJ+c)也然(c为任意常数)。所以,必须对参数施加约束,不妨设β1=0。于是  这样,就可得到惟一的参数最大似然估计。 使用过这种模型的情形包括:个体选择就业,高考生选择学校以及消费者在几个商业区中选择到哪个区去购物等。在上述各种情况下,决策者都必须从一组有限的离散备选方案中选择一个行动。 |