网站首页  词典首页

请输入您要查询的字词:

 

字词 大叶香茶菜
类别 中英文字词句释义及详细解析
释义 大叶香茶菜

【名称出处】:《中草药》

【概况】:

基源 为唇形科香茶菜属植物歧伞香茶菜的干燥地上部分。

原植物 歧伞香茶菜Rabdosia macrophylla(Migo)C.Y.Wu et H.W.Li(Amethystanthus macrophyllus Migo;Plectranthus excisus auct.non Maxim).

形态 多年生草本或半灌木。茎直立,高1~1.5m,密被卷曲短柔毛。叶片近圆形或圆状卵圆形,长5.5~15cm.宽5~10cm,顶端具1凹陷,在凹陷中有长2~2.5cm长披针形的顶齿,但下部叶锐尖而无凹陷,边缘具粗大圆锯状锯齿,平行网脉两面明显可见。圆锥花序顶生或在茎上部叶腋生,由具10~15花明显两歧状的聚伞花序所组成;花萼钟形,萼齿5,微呈3/2式二唇形,下唇2齿,齿卵状三角形,顶端具短尖,上唇3齿,齿卵状三角形,较小,略向上反折;花冠白蓝或淡紫色,冠筒基部上方浅囊状,冠檐二唇形,上唇外反,下唇内凹,舟形;雄蕊4,花丝中部以下具髯毛;花盘环状。

成熟小坚果倒卵形,长约2.5mm,顶端圆形,有毛和腺点。花果期9~10月。

(图见《江苏植物志》.下册.722页.图1933)

生境与分布 生于海拔约120m的山坡、路旁或杂木林下。分布于江苏。

【化学】:

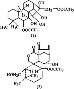
主要含大叶香茶菜丙即冬凌草素(Ondonin)、大叶香茶菜己(Isodonal)、β-谷甾醇[1]、大叶香茶菜甲即乌苏酸、大叶香茶菜丁(Enmenol)、香茶菜甲素(Amethystoidin A)、大叶香茶菜庚(Rabdophyllin G)[2]、Lasiodonin、Lasiokaurin、棕榈酸、2-α羟基乌苏酸[3]和大叶香茶菜辛素(Rabdophyllin H)(1)[4~5]

其中大叶香茶菜庚的结构经x衍射法测定后进行了修正,确定为如(2)式[6]。上述成分中有6种具有抗肿瘤或具细胞毒活性的二萜类化合物。

参考文献 [1] 药学学报 1981;16(10):796 [2] 药学学报 1982;17(12):917 [3] 中草药 1984;15(2):53 [4] 药学学报 1986;21(2):109 [5] 化学学报 1985;43(12):1190 [6] 化学学报 1984;42(7):645。【药理】:

本品叶中含多种抗肿瘤成分,冬凌草素体外对人体食管鳞癌细胞CaEs-17有明显的细胞毒作用,3μg/ml浓度时,细胞生长率为75%,体内对小鼠EAC癌,对照组3wk死亡,注射冬凌草素则3wk 100%存活,存活时间延长115%。

对S-180、肝癌及网组织细胞肉瘤(ARS)等均有对抗作用。对骨髓等无明显抑制[1~3]

大叶香茶菜己在体外能抑制肝癌细胞[1],大叶香茶菜庚对体外肝癌细胞培养有显著抑制,体内对HAC实验,延命率为129.6%。

上述成分有一定的抗菌作用,冬凌草素对革兰氏阳性菌效果较好,对金葡菌的MIC为31μg/ml,对革兰氏阴性菌则为62.5~500μg/ml[3,5]。对鳞翅目幼虫有抑制其生长作用[6]。香茶菜醛作用与上相似,能抑制从蚕中肠分离的线粒体的氧化磷酸化作用[6]

大叶香茶菜辛素对QGY-7703肝癌细胞IC50值为3.87μg/ml[7]

参考文献 [1] 科学通报 1978;23(1):53,药学学报 1981;16(10):796,中华肿瘤杂志 1981;3(1):77,药学通报 1980;15(9):43,1981;16(5):6,中草药 1981;12(1):20 [2] Exprimentia 1976;32(2):203 [3] Chem Pharm Bull 1976;24(9):2118 [4] 药学学报 1982;17(10):750,17(12):917 [5] Agr Biol Chem 1974;38(6):1261 [6] Agr biol chem 1979;43(1):71 [7] 药学学报 1886;21(2):109。

【药性】:

功效 抗癌,抑菌,消炎。

随便看

 

文网收录3541549条中英文词条,其功能与新华字典、现代汉语词典、牛津高阶英汉词典等各类中英文词典类似,基本涵盖了全部常用中英文字词句的读音、释义及用法,是语言学习和写作的有利工具。

 

Copyright © 2004-2024 Ctoth.com All Rights Reserved
京ICP备2021023879号 更新时间:2026/1/17 12:47:01