网站首页  词典首页

请输入您要查询的字词:

 

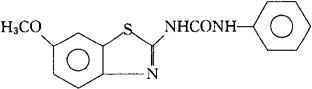
字词 夫仑替唑
类别 中英文字词句释义及详细解析
释义 夫仑替唑

C15H13N3O2S=299.35

CAS-26130-02-9

N-(6-甲氧-2-苯并噻唑基)-N′-苯脲。

N-(6-Methoxy-2-benzothiazolyl)-N′-phenylurea.

1-(6-甲氧-2-苯并噻唑基)-3-苯脲。

1-(6-Methoxy-2-benzothiazolyl)-3-phenylurea.

抗寄生虫药,抗病毒药,免疫调节药。

Frentizole,Compound 53616,Frenazole.

INN,BAN,USAN.

随便看

 

文网收录3541549条中英文词条,其功能与新华字典、现代汉语词典、牛津高阶英汉词典等各类中英文词典类似,基本涵盖了全部常用中英文字词句的读音、释义及用法,是语言学习和写作的有利工具。

 

Copyright © 2004-2024 Ctoth.com All Rights Reserved
京ICP备2021023879号 更新时间:2025/10/18 15:26:05