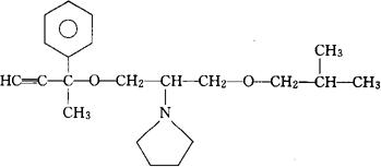
夫罗吡地
C21H31NO2=329.48 CAS-79700-63-3 1-[1-(异丁氧甲基)-2-[(1-甲基-1-苯基-2-丙炔基)氧]乙基]吡咯烷。 1-[1-(Isobutoxymethyl)-2-[(1-methyl-1-phenyl-2-propynyl)oxy]ethyl]pyrrolidine. 1-[-[[(1-甲基-1-苯基-2-丙炔基)氧]甲基]-2-(2-甲基丙氧)乙基]吡咯烷。 1-[-[[(1-Methyl-1-phenyl-2-propynyl)oxy]methyl]-2-(2-methylpropoxy)ethyl]pyrrolidine. 抗心律失常,抗咽峡炎药,抗心绞痛药。 柔利地匹。 Fronepidil,Fronedipil. INN,USAN.  |