网站首页  词典首页

请输入您要查询的字词:

 

字词 头孢替坦二钠
类别 中英文字词句释义及详细解析
释义 头孢替坦二钠

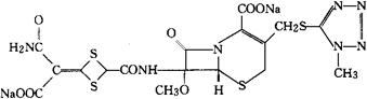
C17H15N7Na2O8S4=619.57

CAS-74356-00-6

[6R-(6α,7α)]-7-[[[4-(2-氨基-1-羧-2-氧代亚乙基)-1,3-二硫杂环丁烷-2-基]羰基]氨基]-7-甲氧基-3-[[(1-甲基-1H-四唑-5-基)硫代]甲基]-8-氧代-5-硫杂-1-氮杂双环[4.2.0]辛-2-烯-2-羧酸二钠盐。

5-Thia-1-azabicyclo[4.2.0]oct-2-ene-2-carboxylicacid,7-[[[4-(2-amino-1-carboxy-2-oxo-ethylidene)-1,3-dithietan-2-yl]carbonyl]amino]-7-methoxy-3-[[(1-methyl-1H-tetrazol-5-yl)thio]methyl]-8-oxo-,disodium salt,[6R-(6α,7α)]-.

(6R,7S)-4-[[2-羧-7-甲氧-3-[[(1-甲基-1H-四唑-5-基)硫代]甲基]-8-氧代-5-硫杂-1-氮杂双环[4.2.0]辛-Z-烯-7-基]氨基甲酰]-1,3-二硫环杂丁烷-△2,α二丙酰胺酸,二钠盐。

(6R,7S)-4-[[2-Carboxy-7-methoxy-3[[(1-methyl1H-tetrazol-5-yl)thio]methy]-8-oxo-5-thia-1-azabicyclo[4.2.0]oct-2-en-7-yl]carbamoyl]-1,3-dithietane-△2,α-malonamic acid,disodium salt.

(6R,7S)-7-[4-(氨基甲酰羧亚甲基)-1,3-二硫杂环丁烷-2-酰胺基]-7-甲氧-3-[[(1-甲基-1H-四唑-5-基)硫代]甲基]-8-氧代-5-硫杂-1-氮双环[4.2.0]辛-2-烯-2-羧酸二钠盐。

(6R,7S)-7-[4-(Carbamoylcarboxymethylene)-1,3-dithietane-2-carboxamido]-7-methoxy-3-[[(1-methyl 1H-tetrazol-5-yl)thio]methyl]-8-oxo-5-thia-1-azabicyclo[4.2.0]oct-2-ene-2-carboxylic acid disodiumsalt.

抗生素类药,抗菌药。用于对本品敏感的大肠杆菌属柠檬酸细菌属克雷柏氏菌属、肠杆菌属、沙雷氏菌属、变形杆菌菌属、流感杆菌等所致的感染。头孢双硫唑甲氧二钠。

Cefotetan Disodium,YM-09330,Cefotan,Apacef.

随便看

 

文网收录3541549条中英文词条,其功能与新华字典、现代汉语词典、牛津高阶英汉词典等各类中英文词典类似,基本涵盖了全部常用中英文字词句的读音、释义及用法,是语言学习和写作的有利工具。

 

Copyright © 2004-2024 Ctoth.com All Rights Reserved
京ICP备2021023879号 更新时间:2026/1/17 14:29:36