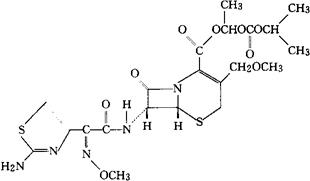
头孢泊肟普乙酯
C21H27N5O9S2=557.59 CAS-87239-81-4 CAS-80210-62-4(cefpodoxime) [6R-[6α,7β(Z)]]-7-[[(2-氨基-4-噻唑基)(甲氧亚氨基)乙酰]氨基]-3-(甲氧甲基)-8-氧代-5-硫杂-1-氮杂双环[4.2.0]辛-2-烯-2-羧酸1-[[(1-甲基乙氧)羰基]氧]乙酯。 7-[[(2-Amino-4-thiazolyl)(methoxyimino)acetyl]amino]-3-(methoxymethyl)-8-oxo-5-thia-1-azabicyclo[4.2.0]oct-2-ene-2-carboxylic acid,1-[[(lmethylethoxy)carbonyl]oxy]ethyl ester,[6R-[6α,7β(Z)]]-. (±)-1-羟乙基(+)-(6R,7R)-7-[2-(2-氨基-4-噻唑基)乙醛酰胺基]-3-(甲氧甲基)-8-氧代-5-硫杂-1-氮杂双环[4.2.0]辛-2-烯-2-羧酸酯。72-(Z)-(O-甲基肟)异丙基碳酸酯。 (±)-1-Hydoxyethyl(+)-(6R,7R)-7-[2-(2-amino4-thiazolyl)glyoxylamido]-3-(methoxymethyl)-8-oxo-5-thia-1-azabicyclo[4.2.0]oct-2-ene-2-carboxylate,72-(Z)-(O-methyloxime),isopropyl carbonate(ester). 抗生素类药。 头孢普罗普乙酯。 Cefpodoxime Proxetil,U-76252,CS-807. INN,BAN(Cefpodoxime),USAN.  |