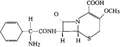
头孢洛定
C16H19N3O3S=365.40 CAS-51762-05-1 (6R,7R)-7-[(R)-2-氨基-2-(1,4-环己二烯-1-基)乙酰胺基]-3-甲氧-8-氧代-5-硫杂-1-氮杂双环[4.2.0]辛-2-烯-2-羧酸。 (6R,7R)-7-[(R)-2-Amino-2-(1,4-cyclohexadien-1-yl)acetamido]-3-methoxy-8-oxo-5-thia-1-azabicyclo[4.2.0]oct-2-ene-2-carboxylic acid. 抗生素类药。 头孢沙定。 Cefroxadine,Oraspor. INN,DCIT,JAN,USAN,MI.  |