奈必洛尔
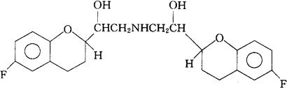
C22H25F2NO4=405.44 CAS-99200-09-6 α,α′-[亚氨基双(亚甲基)]双[6-氟-3,4-二氢-2H-1-苯并吡喃-2-甲醇。 α,α′-[Iminobis(methylene)[bis[6-fluoro-3,4-dihydro-2H-1-benzopyran-2-methanol]. α,α-(亚氨基二亚甲基)双[6-氟-2-苯并二氢吡喃甲醇]。 α,α-(Iminodimethylene)bis[6-fluoro-2-chromanmethanol]. β-受体阻滞药。 Nebivolol,R65,824. INN,USAN. 
|