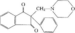
奥沙二酮
C20H19NO3=321.38 CAS-27591-42-0 (2-吗啉代甲基)-2-苯-1,3-二氢化茚二酮。 2-(Morpholinomethyl)-2-phenyl-1,3-indanedione. 2-(4-吗啉甲基)-2-苯基-1H-茚-1,3(2H)-二酮。 2-(4-Morpholinylmethyl)-2-phenyl-1H-indene-1,3-(2H)-dione. 抗凝血药。 Oxazidione,Amplidione,LD 4610,Mofedione,Transidione. INN,DCF,USAN,MI.  |