网站首页  词典首页

请输入您要查询的字词:

 

字词 安卡洛尔
类别 中英文字词句释义及详细解析
释义 安卡洛尔

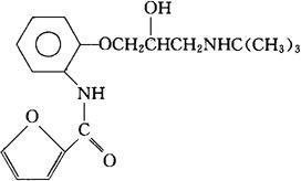
C18H14N2O4=332.40

CAS-75748-50-4

(±)-2′-[3-(叔-丁氨基)-2-羟基丙氧基]-2-呋喃甲酰苯胺。

(±)-2′-[3-(tert-Butylamino)-2-hydroxypropoxy]-2-furananilide.

β-受体阻滞药。

Ancarolol.

INN,USAN.

随便看

 

文网收录3541549条中英文词条,其功能与新华字典、现代汉语词典、牛津高阶英汉词典等各类中英文词典类似,基本涵盖了全部常用中英文字词句的读音、释义及用法,是语言学习和写作的有利工具。

 

Copyright © 2004-2024 Ctoth.com All Rights Reserved
京ICP备2021023879号 更新时间:2025/10/18 18:02:30