网站首页  词典首页

请输入您要查询的字词:

 

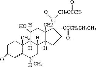
字词 安布可特
类别 中英文字词句释义及详细解析
释义 安布可特

C28H40O7=488.62

CAS-83625-35-8

11β,17,21-三羟基-6α-甲基孕甾-4-烯-3,20-二酮21-乙酸酯17-丁酸酯。

11β-17,21-Trihydroxy-6α-methylpregn-4-ene-3,20-dione 21-acetate 17-butyrate.

肾上腺皮质激素类药。

Amebucort.

INN,USAN.

随便看

 

文网收录3541549条中英文词条,其功能与新华字典、现代汉语词典、牛津高阶英汉词典等各类中英文词典类似,基本涵盖了全部常用中英文字词句的读音、释义及用法,是语言学习和写作的有利工具。

 

Copyright © 2004-2024 Ctoth.com All Rights Reserved
京ICP备2021023879号 更新时间:2026/4/17 22:39:23