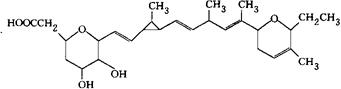
安布替星
C28H42O6=474.64 CAS-58857-02-6 6-[2-[2-[5-(6-乙基-3,6-二氢-5-甲基-2H-吡喃-2-基)-3-甲基-1,4-己二烯基]-3-甲基环丙基]烯乙基]-四氢-4,5-二羟基-2H-吡喃-2-醋酸。 6-[2-[2-[5-(6-Ethyl-3,6-dihydro-5-methyl-2Hpyran-2-yl)-3-methyl-1,4-hexadienyl]-3-methylcyclopropyl]vinyl]-tetrahydro-4,5-dihydroxy-2Hpyran-2-acetic acid. 抗真菌药,用于霉菌病。 安布鲁星。 Ambruticin,W7783,SMP-78 Acid S INN,USAN.  |