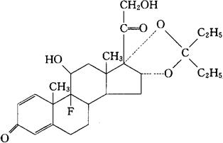
安西法尔
C26H35FO6=462.56 CAS-3924-70-7 9-氟-11,21-二羟基-16,17-[(1-乙基亚丙基)双(氧)]-孕甾-1,4-二烯-3,20-二酮,(11β,16α)。 9-Fluoro-11,21-dihydroxy-16-17-[(1-ethylpropylidene)bis(oxy)]-pregna-1,4-diene-3,20-dione,(11β,16α). 9-氟-11β,16α,17,21-四羟基孕甾-1,4-二烯-3,2-二酮16,17-乙缩醛3-戊酮。 9-Fluoro-11β,16α,17,21-tetrahydroxypregna-1,4-diene-3,20-dione cyclic 16,17-acetal with 3-pentanone. 肾上腺皮质激素类药。 Amcinafal,SQ-15-102. INN,USAN.  |