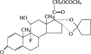
安西缩松
C28H35FO7=502.58 CAS-51022-69-6 9-氟-11β,16α,17,21-四羟基孕甾-1,4-二烯-3,20-二酮与戊酮结合的16,17-乙缩醛环,21-醋酸酯。 9-Fluoro-11β,16α,17,21-tetrahydroxypregna-1,4-diene-3,20-dione cyclic 16,17-acetal with cyclopentanone,21-acetate. 皮质激素类药。 安西奈德。 Amcinonide Cyclocort. INN,BAN,DCF,BAN,USAN,USP,MI.  |