定性经济学
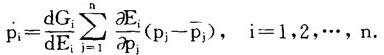
经济系统的定性研究始于希克斯(Hicks,1939)关于一般均衡模型的比较静态分析。 例如考虑n种商品的市场,设Ei(p)=Di(p)-Si(p)是第i种商品的超需函数,价格调整过程遵从规则 pi=Gi(Ei(p)),i=1,2,…,n.(*)其中Gi(Ej)是保号函数且 >0(参看〔摸索过程〕)。设 为均衡价格向量,将方程(*)线性化,得:  或写成 p=B(p- ), 其中B=DA,D是以 …, 为元素的对角矩阵,A=( Ei/ pj),萨缪尔森(Samuelson,1947)指出,微分方程稳定性准则从形式上看来甚为完整,但对大多数问题而言,系数矩阵B的元素的真正数值并不知道(因而不能从求解特征方程的根来验证有关系统的稳定性)。 因此希望能从矩阵B(或D和A)的定性(符号)信息,甚至不要写出特征方程来推断经济系统是否稳定。 定性经济学的目的是利用模型中参数的符号(定性信息)而不是数值来确定系统中的变量的性质。 例如研究一类形如Ax=b的比较静态系统,其中A是n×n矩阵,x和b是n×1矩阵,问题是给定A和b中的元素的符号信息(为正、负或零),看能否惟一地定出x中的元素的符号。如果能够,则称系统是定性可解的。目前研究定性可解性的工具主要是图论。另一类是线性动态系统x=Bx(例如B是超需向量函数的n×n偏导数矩阵,x是价格向量);问题是对给定的B中元素的符号信息,要求看在什么情形下系统是渐近稳定的(即limx=0)。这个问题可转化为判定B是否为稳定矩阵(即它的特征根的实部全为负)。 对B=DA,则问A的元素符号要满足什么条件,才能对每一个对角元素均为正的D,使得矩阵DA是稳定的。 |