定期死亡保险趸交纯保费计算
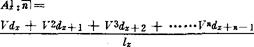
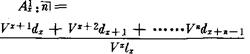
寿险计算方法,其公式(保额为1元)  将其分子和分母同乘以Vx则  设:Cx=Vx+1dx,Cx+1=Vx+2dx+1……; D=Vxlx。 则:  如再设Mx=Cx+Cx+1+Cx+2+……  其中A : 代表定期死亡保险保险金额一元的趸缴纯保险费,x代表被保险人投保时的年龄,n代表保险期限,x上面的阿拉伯数字“1”表示定期死亡保险。上述算式中,V为贴现因子(1+i)-1,dx为死亡表中x岁至x+1岁之间一年内死亡的人数,lx为死亡表中生存至x岁的人数。Cx、Dx、Mx常称为寿险精算换算符号。 |