网站首页  词典首页

请输入您要查询的字词:

 

字词 对数单位分析
类别 中英文字词句释义及详细解析
释义 对数单位分析

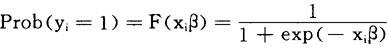
对数单位模型为:

其中yi是取值为1或0的因变量。

称对该模型进行的分析为对数单位分析。易见yi的期望为F(xiβ),于是

yi=F(xiβ)+ui

其中ui为均值0,方差为F(xiβ)[1一F(xiβ)]的随机变量。

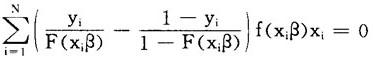
参数β最大似然估计的一阶条件为:

经化简为:

使用过这种模型的情形包括:住户关于买还是租一套合适寓所的决策,参议员关于投票赞成还是反对一项立法的决策,个体关于是否加入工会的决策等。在上述各种情况下,决策者都必须从两个离散备选方案中选择一个行动。

随便看

 

文网收录3541549条中英文词条,其功能与新华字典、现代汉语词典、牛津高阶英汉词典等各类中英文词典类似,基本涵盖了全部常用中英文字词句的读音、释义及用法,是语言学习和写作的有利工具。

 

Copyright © 2004-2024 Ctoth.com All Rights Reserved
京ICP备2021023879号 更新时间:2026/4/18 17:43:42