局部加强的计算
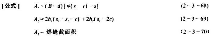
[说明]局部补强计算广泛采用“等面积计算法”,即有效的补强截面积要等于或大于被削去金属的截面积。有效的补强截面积是指在有效范围内一切可以利用来补强的金属和焊缝的截面积。如图2-3一13所示,加强范围在WXYZ区域。 1.有效宽度计算  式中 d——开孔直径(m) 2.有效高度计算 ❶ 外侧高度h1  式中 s1——管壁厚度(包括壁厚附加量)(m) [注意]h1也等于按管实际外伸高度,取其与式2-3-67中计算值二者中的较小者。 ❷ 内侧高度h2  式中符号含义及单位同上 [注意]通常取两者中的较小值 3.有效加强金属面积计算 [说明]如图2-3-13所示,在有效加强区的WXYZ内,可作为有效加强的金属面积计算如下。  式中 A1——壳体或封头上超过抵抗压力所需的多余金属面积(m2) A,——接管上超过抵抗压力所需的多余金属面积(m2) s——筒体或封头的计算壁厚(m) s1——管壁厚度(m),包括壁厚附加量 s2——管壁的计算厚度(m),不包括壁厚附加量(m) s——考虑腐蚀裕量时容器的壁厚(m) φ——焊缝系数,开孔不通过纵焊缝时,取φ=1.0:当开孔通过纵焊缝时,即取纵焊缝的焊缝系数,见表2-3-13 表2-3-13 纵焊缝系数φ  [讨论]若A1+A2+A3≥A(A为因开孔而削弱的面积,计算见下),则开孔不需另加补强;若A1+A2+A3<A,则需加补强,补强板的截面积为:A-(A1+A2+A1)。 4.因开孔而削弱的面积计算 [公式]A=ds (2-3-71) 式中 A——因开孔而削弱的面积(m2) d——开孔直径(m) s——筒体或封头的计算壁厚(m),不包括壁厚附加量 |