工时进度法
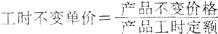
通常指机器制造企业根据工时单价计算在制品、半成品价值的一种方法。 有全厂工时进度法和车间工时进度法。 全厂工时进度法是以产品的工时不变单价,乘该产品已完成的定额工时总数,减去已入库成品价值;或者计算期末结存价值减去期初结存价值。 其公式表示为: 本期完成该产品的全部价值-本期入库成品价值 或:期末结存在制品、半成品价值-期初结存在制品、半成品价值 上面两种方法以第一种较简单,无需对在制品、半成品进行盘存。本期完成产品的全部价值,即各车间原始记录中完成的产品定额工时数的总和,乘工时不变单价。工时不变单价的公式为:  车间工时进度法是分别按车间计算产值,而后加总得出全厂产值的方法。它与全厂工时进度法的区别在于采用车间工时单价。计算车间工时单价需要资料较多,手续也繁。但它是以车间费用来计算车间工时单价,比较接近实际。 采用这种方法;要求产品工艺稳定,原始资料较健全。 |