网站首页  词典首页

请输入您要查询的字词:

 

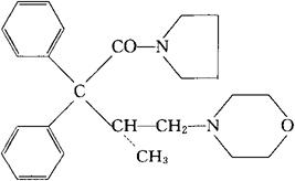
字词 左吗咯酮
类别 中英文字词句释义及详细解析
释义 左吗咯酮

C25H32N2O2=392.54

CAS-5666-11-5

(-)-4-[2-甲基-4-氧代-3,3-二苯基-4-(1-吡咯烷基)丁基]吗啉。

(-)-4-[2-Methyl-4-oxo-3,3-diphenyl-4-(1-pyrrolidinyl)butyl]morpholine.

镇痛药。

左吗拉胺。

Levomoramide.

INN,BAN,DCF,DCIT,NFN,USAN.

随便看

 

文网收录3541549条中英文词条,其功能与新华字典、现代汉语词典、牛津高阶英汉词典等各类中英文词典类似,基本涵盖了全部常用中英文字词句的读音、释义及用法,是语言学习和写作的有利工具。

 

Copyright © 2004-2024 Ctoth.com All Rights Reserved
京ICP备2021023879号 更新时间:2025/10/17 23:44:12