己曲安奈德
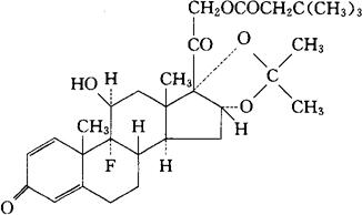
C30H41FO2=532.65 CAS-5611-51-8 (11β,16)-21-(3,3-二甲基-1-氧代丁氧基)-9-氟-11-羟-16,17-[(1-甲基亚乙基)双(氧)]孕甾-1,4-二烯-3,20-二酮。 (11β,16)-21-(3,3-Dimethyl-1-oxobutoxy)-9-fluoro11-hydroxy-16,17-[1-methylethylidene)bis(oxy)]pregna-1,4-diene-3,20-dione. 9-氟-16β,16α,17,21-四羟孕甾-1,4-二烯-3,20二酮与丙酮形成环16,17-乙缩醛21-(3,3-二甲基丁酸酯)。 9-Fluoro-16β,16α,17,21-tetrahydroxypregna-1,4-dione-3,20-dione cyclic 16,17-acetal with acetone 21-(3,3-dimethylbutyrate). 糖皮质激素类药,消炎药。 Triamcinolone Hexacetonide,Aristospan,Fluoxiprednisolone,Hexacetonide,Cl 34433,TATBA. INN,BAN,USAN,USP. 
|