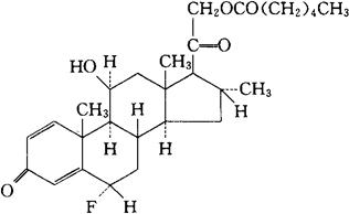
己酸氟可龙
C28H39FO5=474.61 CAS-303-40-2 (6α,11β,16α)-6-氟-11,21-二羟-16-甲基-21(1-氧代己基)氧]孕甾-1,4-二烯-3,20-二酮。 (6α,11β,16α)-6-Fluoro-11,21-dihydroxy-16-methyl-21(1-oxohexyl)oxy]pregna-1,4-diene-3,20-dione. 6α-氟-11β,21-二羟基-16α-甲基孕甾-1,4-二烯-3,20-二酮21-己酸酯。 6α-Fluoro-11β,21-dihydroxy-16α-methylpregna-1,4-diene-3,20-dione 21-hexanoate. 肾上腺皮质激素类药,消炎药。 己酸氟可托龙。 Fluocortolone Caproate,SH 770,Ultralen,Fluocortolone Hexanoate. USAN.  |