网站首页  词典首页

请输入您要查询的字词:

 

字词 巴维林
类别 中英文字词句释义及详细解析
释义 巴维林

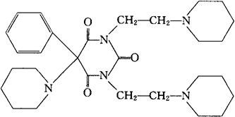
C29H43N5O3=509.69

CAS-1639-79-8

5-苯基-5-哌啶基-1,3-双(2′-哌啶乙基)巴比妥酸。

5-Pheny1-5-piperidino-1,3-bis(2′-piperidinoethyl)barbituric acid.

镇静、催眠药。

三哌啶比妥。

Barverine,Wu 461.

随便看

 

文网收录3541549条中英文词条,其功能与新华字典、现代汉语词典、牛津高阶英汉词典等各类中英文词典类似,基本涵盖了全部常用中英文字词句的读音、释义及用法,是语言学习和写作的有利工具。

 

Copyright © 2004-2024 Ctoth.com All Rights Reserved
京ICP备2021023879号 更新时间:2026/4/18 13:37:25