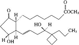
布他前列素
C24H40O5=408.58 CAS-69648-38-0 3-羟基-2-[4-羟基-4-(1-丙基环丁基)-1-丁烯基-[5-氧-环戊烷庚酸甲酯,[1R-[1α-2β(1E,4R),3α]]。 3-Hydroxy-2-[4-hydroxy-4-(1-propylcyclobutyl)-1-butenyl]-5-oxo-cyclopentaneheptanoic acid,methylester,[1R-[1α,-2β(1E,4R),3α]]-. (1R,2R,3R)-3-羟基-2-[(1E,4R)-4-羟基-4-(1-丙基环丁基)-1-丁烯基]-5-氧环戊烷庚酸甲酯。 Methyl(1R,2R,3R)-3-hydroxy-2-[(1E,4R)-4-hydroxy-4-(1-propylcyclobutyl)-1-butenyl]-5-oxoclopentaneheptanoate. 前列腺素类药,支气管扩张药。 Butaprost,TR-4979,Bay q 4218. INN,BAN,USAN.  |