网站首页  词典首页

请输入您要查询的字词:

 

字词 布可比妥
类别 中英文字词句释义及详细解析
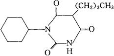
释义 布可比妥

C14H22N2O3=266.34

CAS-841-73-6

5-丁基-1-环己基巴比土酸。

5-Butyl-1-cyclohexylbarbituric acid.

消炎镇痛药。

布可隆。

Bucolome,Paramidin.

INN,DCIT,JAN,NFN,USAN,MI.

随便看

 

文网收录3541549条中英文词条,其功能与新华字典、现代汉语词典、牛津高阶英汉词典等各类中英文词典类似,基本涵盖了全部常用中英文字词句的读音、释义及用法,是语言学习和写作的有利工具。

 

Copyright © 2004-2024 Ctoth.com All Rights Reserved
京ICP备2021023879号 更新时间:2026/5/30 15:49:48