网站首页  词典首页

请输入您要查询的字词:

 

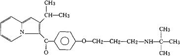
字词 布吲扎酮
类别 中英文字词句释义及详细解析
释义 布吲扎酮

C25H32N2O2=392.54

CAS-89622-90-2

对-[3-(叔-丁氨基)丙氧基]苯基2-异丙基-3-吲嗪基酮。

p-[3-(tert-Butylamino)propoxy]phenyl 2-isopropyl3-indolizinyi ketone.

血管扩张药。

布茚扎酮。

Brinazarone.

INN,USAN.

随便看

 

文网收录3541549条中英文词条,其功能与新华字典、现代汉语词典、牛津高阶英汉词典等各类中英文词典类似,基本涵盖了全部常用中英文字词句的读音、释义及用法,是语言学习和写作的有利工具。

 

Copyright © 2004-2024 Ctoth.com All Rights Reserved
京ICP备2021023879号 更新时间:2025/10/18 23:37:48