网站首页  词典首页

请输入您要查询的字词:

 

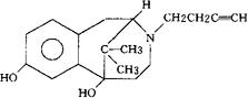
字词 布替佐辛
类别 中英文字词句释义及详细解析
释义 布替佐辛

C18H23NO2=285.39

CAS-93821-75-1

(±)-3-(3-丁炔基)-1,2,3,4,5,6-六氢-11,11-二甲基-2,6-亚甲基-3-苯并吖辛因-6,8-二醇。

(±)-3-(3-Butynyl)-1,2,3,4,5,6-hexahydro-11,11-dimethyl-2,6-methano-3-benzazocine-6,8-diol.

镇痛药。

Butinazocine.

INN,USAN.

随便看

 

文网收录3541549条中英文词条,其功能与新华字典、现代汉语词典、牛津高阶英汉词典等各类中英文词典类似,基本涵盖了全部常用中英文字词句的读音、释义及用法,是语言学习和写作的有利工具。

 

Copyright © 2004-2024 Ctoth.com All Rights Reserved
京ICP备2021023879号 更新时间:2026/4/19 12:34:17