布莱克-斯科尔斯期权定价模型
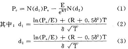
布莱克-斯科尔斯期权定价模型是用来估计买入期权或卖出期权的公平价值的。 模型假定该期权是欧式期权,即投资者只能在期满日这一天执行期权。再假定在期权合约有效期内标的股票不支付任何利息。在不考虑税收以及交易成本的条件下,估算买入期权公平价值的布莱克-斯科尔斯价值公式如下:  其中: Ps——标的股票当前的市场价格; E——期权的执行价格; R——无风险连续年复利率; T——离期满日的时间,以占一年的几分之几表示; δ——标的股票的风险,用连续计算的年回报率的标准差来测度。 并且,E/eRT是利用连续复利率对执行价格进行折现后的现值。N(d1)和N(d2)分别表示在标准正态分布中出现结果小于d1和d2的概率。 估算卖出期权公平价值Pp的布莱克-斯科尔斯价值公式如下:  在布莱克-斯科尔斯期权定价公式中,买入期权和卖出期权的公平价值取决于5个输入变量:普通股股票的市场价格Ps、期权的执行价格E、离期满日的时间长度T、无风险利率R以及普通股股票的风险δ。 |