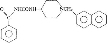
帕奴拉明
C24H25N3O2=387.48 CAS-80349-58-2 1-苯甲酰-3-[1-(2-萘甲基)-4-哌啶基]脲。 1-Benzoyl-3-[1-(2-naphthylmethyl)-4-piperidyl]urea. N-[[[1-(2-萘甲基)-4-哌啶基]氨基]羰基]-苯甲酰胺。 N-[[[1-(2-Naphthalenylmethyl)-4-piperidinyl]amino]carbonyl]benzamide. 抗抑郁药,精神兴奋药。 萘哌拉明。 Panurmine. INN,BAN,USAN  |