网站首页  词典首页

请输入您要查询的字词:

 

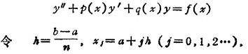
字词 常微分方程数值解法
类别 中英文字词句释义及详细解析
释义 常微分方程数值解法

15.6.1 一阶方程

设{y′(x)=f(x,y)y(x0)=y0的解存在而且唯一欧拉折线法:

yn+1=yn+hf(xn,yn),y(xn+1)≈yn+1(n=1,2,…)

截断误差为h2的同阶无穷小量,即0(h2)。

梯形法(改进的欧拉折线法):

预报公式

校正公式 +

f(xn+1)〕y(xn+1)≈yn+1

(n=0,1,2,…)

截断误差为0(h3)。

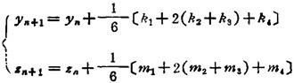
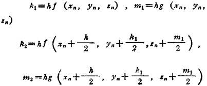
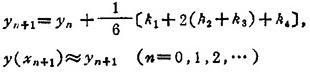
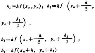
龙格——库塔法:

式中

截断误差为0(h5)。

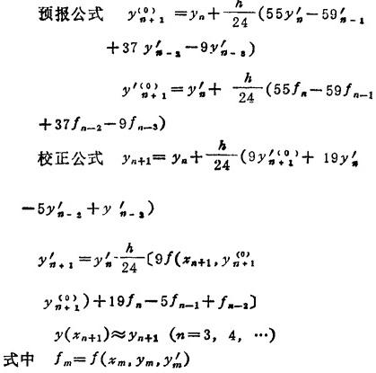
线性多步法:先用其它方法计算y1,y2,y3

预报公式 =yn+〔55f(xn,yn)-59f(xn-1,yn-1)+37f(xn-2,y-2)-9f(xn-3,yn-3)〕

校正公式 yn+1=yn+〔9f(xn+1)+19f(xn,yn)-5f(xn-1,yn-1)+f(xn-3,yn-2)〕

y(xn+1)≈yn+1(n=3,4,…)

截断误差为0(h5)。

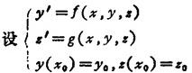
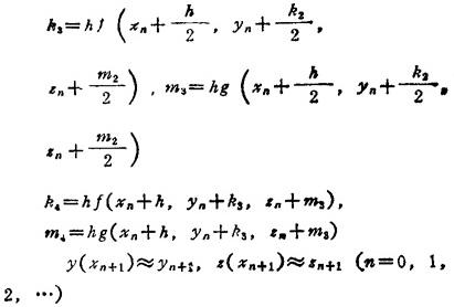
15.6.2 一阶方程组

的解存在且唯一。采用龙格—库塔法近似求解。

式中

截断误差为0(h5)。

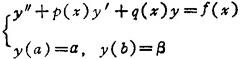
15.6.3 二阶方程

设{y”=f(x、y、y′)y(x0)=y0的解存在而且唯一。

龙格—库塔法:令y′=z,化为下列一阶方程组。再按15.6.2所述方法求解。

阿达姆斯法:设在x=x1,x2,x3处y(x)及y′(x)的近似值y1,y2,y3及y1′y2′y3′均为已知(或用其它方法先计算出)。

截断误差为0(h5)。

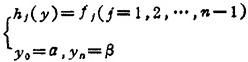
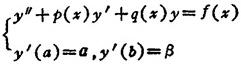
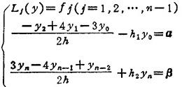
15.6.4 二阶线性方程边值问题的差分方法

第一边值问题:

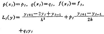
可以近似地变成含n-1个未知数y1、y2、…、yn-1的代数方程组

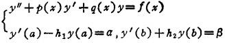
第二边值问题:

可以近似地变成含n+1个未知数y0,y1,…,yn的代数方程组

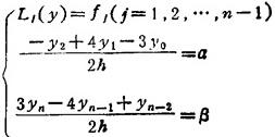
第三边值问题:

可以近似地变成含n+1个未知数y,y1,…,yn的代数方程组

针对上述三种问题,求解所化成的代数方程组,可以获得原二阶线性方程边值问题的近似解y(xj)≈yj(j=0,1,2,…,n),其截断误差为0(h2)。

随便看

 

文网收录3541549条中英文词条,其功能与新华字典、现代汉语词典、牛津高阶英汉词典等各类中英文词典类似,基本涵盖了全部常用中英文字词句的读音、释义及用法,是语言学习和写作的有利工具。

 

Copyright © 2004-2024 Ctoth.com All Rights Reserved
京ICP备2021023879号 更新时间:2025/10/17 19:34:00