网站首页  词典首页

请输入您要查询的字词:

 

字词 常用分布函数
类别 中英文字词句释义及详细解析
释义 常用分布函数

见表3.3-2、3、4。

表3.3-2 离散型随机变量概率分布

注:
❶ Φ( )为标准正态分布的累积分布函数,其值可由其函数表查得,见表3.3-7。

❷ Γ( )为Γ函数,的值可查数学手册Γ函数表。

❸ 求失效率λ(t),可按λ(t)=f(t)/R(t)。

表3.3-4 常用分布的寿命公式

注:表中各符号含义见表3.3-3。

例3.3-1 某车间使用5台设备,已知设备在800小时内的失效概率为0.05,试求至少有3台在800小时内能正常工作的概率。

解:设各设备的失效事件互为独立,按二项分布,且设X为不能正常工作的设备数,由表3.3-2中公式

=×0.955×0.050+×0.954×0.051+×0.953×0.052=0.9988

例3.3-2 已知某飞机零件的寿命遵从威布尔分布,并已知形状参数k=2,位置参数a=0,尺度参数b=200h,试求当t=150h时的可靠度R(t),以及平均寿命和可靠度R=95%的可靠寿命。

解:由表3.3-3和3.3-4所列公式

可靠度:R(t)=

平均寿命:+0=177.2h,[Γ(1.5)=0.886,由Γ函数表查出]。

R=0.95的可靠寿命:t0.95=+α=

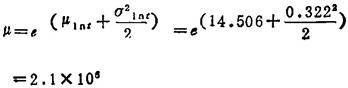
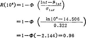
例3.3-3 已知齿轮寿命遵从对数正态分布,对数寿命的均值和均方差μlnt=14.506,σlnt=0.322,求平均寿命、寿命均方差、中位寿命、R=0.99的可靠寿命以及可靠度R(106)。

解:由表3.3-4所列公式

平均寿命:

寿命均方差:

=0.69×106

中位寿命:t0.5=eμlnt=e14.506=2.0×106

R=0.99的可靠寿命:l0.59=e[μlnt+σlntΦ-1(1-R)]

=e[14.506+0.322Φ-1(1-0.99)]

=e[14.506+0.322(-2.326)]=0.94×106

可靠度:

随便看

 

文网收录3541549条中英文词条,其功能与新华字典、现代汉语词典、牛津高阶英汉词典等各类中英文词典类似,基本涵盖了全部常用中英文字词句的读音、释义及用法,是语言学习和写作的有利工具。

 

Copyright © 2004-2024 Ctoth.com All Rights Reserved
京ICP备2021023879号 更新时间:2025/10/18 13:47:11