常用精算符号
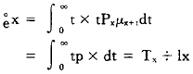
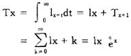
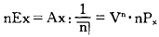
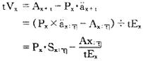
寿险工作中常用的精算符号。主要有: lx——x岁的生存人数。  qx——x岁的人在x+l岁之前死亡的概率 px+qx=l,qx=dx÷lx ——x岁人的完全平均余命。  Tx——lx的人口于x岁以后生存的年数总和  lx——lx的人口自x岁到x+1岁为止生存的年数。  Ax——终身保险给付金的精算现值,也即终身寿险的趸缴纯保费。  ——期初付终生年金现值,  nEx——精算折现因子,在生存保险中,若于n年后得S元生存保险金,则需于n年前缴纳纯保费,Ax:, ,即nEX  nPx——缴费期为n年的x岁终身寿险的纯保费。  ——n年两全保险每期纯保费  tVx——终身寿险第t年的准备金。 
|