平均差
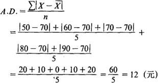
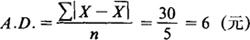
各个变量值对其算术平均数的平均离差。 由于离差总和恒等于零 ,所以计算平均差时,采用离差的绝对值 。平均差越大,说明各标志值与平均数的离差越大;反之,平均差越小,说明各标志值的变动度越小,平均数的代表性越强。 计算平均差的公式,分为简单平均式和加权平均式两种。 1.简单平均式。  式中,A、D、代表平均差(其余符号的意义见平均指标条)。 例如,有两组工人,他们的月工资额如下: 甲组:50,60,70,80,90 乙组:60,65,70,75,80  甲组的平均差是:  用同样的方法得乙组的平均差为:  这就是说,在甲乙两组工人平均工资相等(均为70元)的情况下,甲组的平均差(12元)大于乙组平均差(6元)。 由此表明,甲组平均数的代表性不如乙组。 2.加权平均式。 在资料经过分组,形成分配数列时,应采取加权平均式。其公式为:  假设某企业200个职工的工资资料如下:   计算表明,该企业职工的月平均工资额为68元,与各个人的月工资额平均相差9.4元。 |