平抛运动的规律
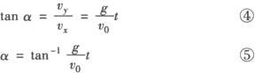
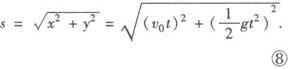
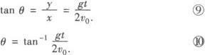
1.以抛出点O为坐标原点,水平初速度v0的方向为x轴正方向,竖直向下的方向为y轴正方向,建立直角坐标系如图所示.  2.任一时刻t的速度v 水平分速度 vx=v0(恒矢量) ❶ 竖直分速度 vy=gt❷ 实际(合)速度v的大小  方向与水平方向成α角斜向下  由❸ ❺ 式可知,平抛运动瞬时速度v的大小和方向都是时刻改变著的. 3.任一时刻t的位移s: 水平分位移x=v0t, ❻ 竖直分位移y=1/2gt2.❼ 实际(合)位移s的大小  方向与水平方向成θ,解如下:  由❽ ❿ 式可知,平抛运动相对抛出点的位移s的大小和方向都是时刻改变著的. |