平面向量的坐标运算
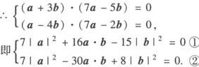
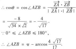
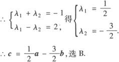
1.平面向量的坐标表示 在平面直角坐标系内,分别取与x轴、y轴正方向相同的两个单位向量i、j作为基底,对任一向量a,有且只有一对实数x、y,使得a=xi+yj,则实数对(x,y)叫做向量a的直角坐标,记作a=(x,y),其中x,y分别叫做a在x轴、y轴上的坐标,a=(x,y)叫做向量a的坐标表示. 相等的向量其坐标相同,坐标相同的向量是相等的向量. 2.平面向量的坐标运算 (1)若a=(x1,y1),b=(x2,y2), 则a±b=(x1±x2,y1±y2). (2)如果A(x1,y1),B(x2,y2), 则 . (3)若a=(x,y),则λa=(λx,λy). (4)如果a=(x1,y1),b=(x2,y2),则a∥b充要条件是x1y2—x2y1=0. (5)若a=(x1,y1),b=(x2,y2), 则a·b=x1x2+y1y2. (6)若a=(x,y), 则|a|2=a·a=x2+y2,|a|= . (7)若A(x1,y1),B(x2,y2),  (8)若a=(x1,y1),b=(x2,y2), 则a⊥b x1·x2+y1·y2=0. 例1 已知:a、b都是非零向量且a+3b与7a—5b垂直,a—4b与7a—2b垂直,求a与b的夹角. 解 ∵(a+3b)⊥(7a—5b), 且(a—4b)⊥(7a—2b),  ❶ —❷ 得2a·b=|b|2, ❸ ❸ 代入❶ 得|a|2=|b|2,即|a|=|b|.  ∴θ=60°. 例2 如图,已知 , =(1,7), =(5,1),设Z是直线OP上的一动点.  (1)求使 取最小值的 , (2)对(1)中求出的Z,求∠AZB. 解 (1)由题意,Z是直线OP上的一点 ∴ . 设实数t,使 ,∴ (2t,t), 则 =(1—2t,7—t). . ∴ t)(1—t) =5t2—20t+12=5(t—2)2—8. 当t=2时, 有最小值—8此时 =(4,2). (2)当t=2时, =(—3,5), =(1,—1).  例3 若向量a=(1,1),b=(1,—1)c=(—1,2),则c=( ).  分析 本题考查了平面向量的基本定理及向量的坐标运算. 解 设c=λ1a+λ2b,则(—1,2)=λ1(1,1)+λ2(1,—1)=(λ1+λ2,λ1—λ2).  例4 已知平面上三点的坐标分别为A(—2,1),B(—1,3),C(3,4),求点D的坐标,使这四个点构成平行四边形的四个顶点. 分析 注意到没有指明顶点的顺序,故应分类讨论,平行四边形的对边平行且相等,从而两个向量相等,故可求出D点坐标. 解 (1)以AC为一条对角线时得 ,设D(x,y),则由 得(—1+2,3—1)=(3—x,4—y). ∴3—x=1,4—y=2. ∴x=2,y=2,即D(2,2). (2)以BC为一条对角线时得 设D(x,y),则由 得(—1+2,3—1)=(x—3,y—4). ∴x—3=1,y—4=2. ∴x=4,y=6,即D(4,6). (3)AB为一条对角线时得 ,则由 同样求得D(—6,0). 综上所述,当D的坐标为(2,2)或(4,6)或(—6,0)时,都能用这四个点构成平行四边形的四个顶点. 例5 设a、b、c是任意的非零平面向量,且它们相互不共线,下列命题 ❶ (a·b)·c—(c·a)·b=0; ❷ |a|—|b|<|a—b|; ❸ (b·c)·a—(c·a)·b不与c垂直; ❹ (3a+2b)·(3a—2b)=9|a|2—4|b|2. 其中正确的是( ). A.❶ ❷ B.❷ ❸ C.❸ ❹ D.❷ ❹ 解 选D.❷ 正确,因a、b不共线,在|a|—|b|≤|a—b|中不能取等号; ❹ 正确是明显的; ❶ 错误,因向量的数量积不满足结合律; ❸ 错误,因[(b·c)·a—(c·a)·b]·c=(b·c)·(a·c)—(c·a)·(b·c)=0,则(b·c)·a—(c·a)·b与c垂直. |