序时平均数
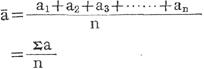
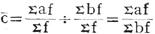
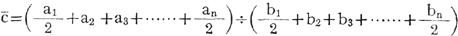
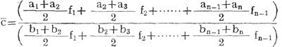
亦称“动态平均指标”、“动态平均数”、“时间平均数”。 指动态数列中各个发展水平的平均数的总称。它是把现象在各时期(或时点)的数量差异抽象化,表明现象在一段时间内的一般水平,反映其发展变化的基本趋势及其规律性。 序时平均数有平均增减量、平均发展水平、平均发展速度和平均增减速度。它是一段时间内各个发展水平的代表值,可以把时间长短不等的总量指标,由不可比成为可比;还可以消除短时间内偶然因素的影响,表明现象在较长时间的发展趋势。 序时平均数可以根据绝对数动态数列计算,也可根据相对数动态数列和平均数动态数列计算。其中,由绝对数动态数列计算的序时平均数是计算相对数动态数列和平均数动态数的序时平均数的基础。 绝对数动态数列有时期数列和时点数列,其计算序时平均数的方法也不一样。 (一)时期数列序时平均数。时期数列各期发展水平可以相加,这就可用简单算术平均数计算。 其公式为:  式中ā为序时平均数,a为各期发展水平,n为数列中的时期数。 (二)时点数列序时平均数。有连续时点数列和间断时点数列两种。 1.连续时点数列序时平均数。按未分组资料计算的可用简单算术平均法;按分组资料计算的可用加权算术平均法。其计算公式为:  式中,a为连续时点各水平,f为数列中的时点单位数。 2.间断时点数列序时平均数。有间隔相等和间隔不等两种数列。其公式为:  式中f为时点间隔长度。 由相对数动态数列计算序时平均数: 1.两个时期对比的相对数动态数列的序时平均数的基本计算公式为:  2.两个时点数列的相对数动态数列的序时平均数。 由两个连续时点数列形成的动态数列,未分组资料的计算公式为:  已分组资料用下列公式:  由两个间断时点数列形成的动态数列: 间隔相等的计算公式为:  间隔不等的计算公式为:  3.一个时期数列和一个时点数列的序时平均数的计算公式为:  由平均数动态数列计算序时平均数: 1.一般平均数形成的动态数列计算序时平均数时,凡相对数动态数列计算序时平均数的方法都可适用。 2.序时平均数形成的动态数列计算序时平均数时,凡时期相等的,可直接用简单算术平均法;时期不等的,则以时期作为权数,用加权算术平均法。 |