序时平均数
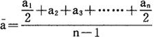
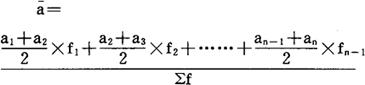
是时间数列中各个时期(或时点)发展水平的平均数,它表明被研究现象在一定发展阶段发展的一般水平。 时间数列序时平均数的计算方法是:(1)由绝对数时间数列计算序时平均数:由时期数列计算序时平均数用简单算术平均法,计算公式为:  为序时平均数,a为各期发展水平,n为时期数。由时点数列计算序时平均数根据掌握资料的不同,有以下几种计算方法: ❶ 当掌握了间隔相等的每期期末(或期初)的资料时,可用简单算术平均法分层计算序时平均数,其公式为:  ❷ 当掌握间隔不等的每期期末(或期初)资料时,可用加权算术平均法计算序时平均数。其计算公式为:  (2)由相对数时间数列计算的序时平均数,其基本公式为: ,其组成有三种情况:由两个时期数列对比所组成的相对数时间数列计算序时平均数;由两个时点数列对比所组成的相对数时间数列计算序时平均数;由一个时期数列与一个时点数列对比所组成的相对数时间数列计算序时平均数,应根据数列的性质采用不同的公式计算。 |