库马霉素钠
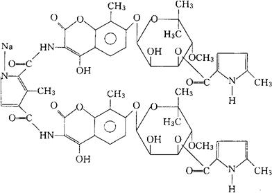
C55H57.6N5Na1.4O20=1140.87 CAS-87901-11-9 1H-吡咯-2-羧酸形成5-甲基-3,3′-二酯与N,N′-双[7-[(6-去氧-5-C-甲基-4-O-甲基-α-L-来苏-吡喃己糖基)氧]-4-羟-8-甲基-2-氧代-2H-1-苯并吡喃-3-基]-3-甲基-1H-吡咯-2,4-二甲酰胺,钠盐(5∶7)。 1H-Pyrrole-2-carboxylic acid,5-methyl-3,3′-diester with N,N′-bis[7-[(6-deoxy-5-C-methyl-4-O-methyl-α-L-lyxo-hexopyranosyl)oxy]-4-hydroxy8-methyl-2-oxo-2H-1-benzopyran-3-yl]-3-methyl1H-pyrrole-2,4-dicarboxamide,sodium salt(5∶7). 5-甲基吡咯-2-羧酸3″,3″-二酯与3,3′-[(3-甲基吡咯-2,4-二基)双(羰基亚氨基)]双[7-(5,5-二-C甲基-4-O-甲基-α-L-来苏吡喃己糖基)氧]-4-羟-8-甲基香豆素,钠盐(5∶7)。 5-Methylpyrrole-2-carboxylic acid,3″,3″-diester with 3,3′-[(3-methylpyrrole-2,4-diyl)]bis(carbonylimino)bis[7-(5-,5-di-C-methyl-4-O-methyl-α-L-lyxopyranosyl)oxy]-4-hydroxy-8-methylcoumarin,sodium salt(5∶7). 抗生素类药,抗菌药。 香豆霉素钠。 Coumermycin Sodium,Ro 5-4645/010. USAN. 
|