网站首页  词典首页

请输入您要查询的字词:

 

字词 应力计算
类别 中英文字词句释义及详细解析
释义 应力计算

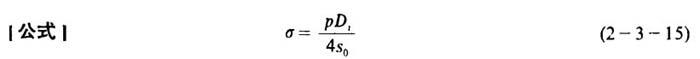
式中 σ——应力(Pa)

p——内压力(Pa)

D1——内径(m)

s0——壁厚(m)

随便看

 

文网收录3541549条中英文词条,其功能与新华字典、现代汉语词典、牛津高阶英汉词典等各类中英文词典类似,基本涵盖了全部常用中英文字词句的读音、释义及用法,是语言学习和写作的有利工具。

 

Copyright © 2004-2024 Ctoth.com All Rights Reserved
京ICP备2021023879号 更新时间:2026/4/19 20:33:30