网站首页  词典首页

请输入您要查询的字词:

 

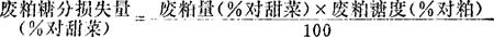
字词 废粕糖分损失计算(无压榨水回流时)
类别 中英文字词句释义及详细解析
释义 废粕糖分损失计算(无压榨水回流时)

废粕量可用上式算得或取为:

双螺旋渗出器………85~90%(对甜菜)

塔式渗出器…………80~85%(对甜菜)

随便看

 

文网收录3541549条中英文词条,其功能与新华字典、现代汉语词典、牛津高阶英汉词典等各类中英文词典类似,基本涵盖了全部常用中英文字词句的读音、释义及用法,是语言学习和写作的有利工具。

 

Copyright © 2004-2024 Ctoth.com All Rights Reserved
京ICP备2021023879号 更新时间:2025/10/18 15:50:27