异克舒令
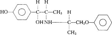
C18H23NO3=301.39 CAS-395-28-8 1-(对-羟苯基)-2-(1-甲基-2-苯氧乙基氨基)丙醇。 1-(p-Hydroxyphenyl)-2-(1-methyl-2-phenoxyethylamino)propan-1-ol. 对-羟-α-[1-[(1-甲基-2-苯氧乙基)氨基]乙基]苄醇。 p-Hydroxy-α-[1-[(1-methyl-2-phenoxyethyl)amino]ethyl]-benzyl alcohol. 血管扩张药。用于治疗脑和外围血管疾病。 苯氧丙酚胺,异舒普林。 Isoxsuprine,Isoxsuprina. INN,BAN,BP,DCF,DCIT,USAN,USP.  |