异石榴亭
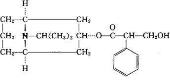
C20H29NO3=331.45 CAS-22150-28-3 9-异丙基石榴皮灵(士)托品酸(酯)。 9-Iospropylgranatoline(±)tropate(ester). 羟甲基苯醋酸,9-(1-甲基乙基)-9-氮杂双环[3.3.1]壬-3基α-。 9-(1-Methylethyl)-9-azabicyclo[3.3.1]non-3yl α-(hydroxymethyl)benzeneacetate. 解痉药,抗胆碱药。 Ipragratine,Kor-12-CL. INN,USAN.  |